Loader

Areas of Scientific Interest

The universe is a dynamic and unpredictable place filled with explosive and cataclysmic events that are both challenging and exciting to study. The NRT (New Robotic Telescope) project will enable rapid observations of transient phenomena like Gamma Ray Bursts (GRBs), which fade within minutes of occurrence. In the coming decade, we will benefit from an abundance of data from survey telescopes, requiring sensitive and flexible telescopes like the NRT to follow up on discoveries. Additionally, the NRT will collaborate with other facilities to explore multi-messenger alerts, offering new insights into cosmic phenomena.

Supernovae (SNe) are pivotal events in stellar evolution; their catastrophic nature makes them powerful probes of the evolution and life cycle of different types of star.

crabneb
Liverpool Telescope image of Crab Nebula

The term 'supernova' covers a wide, and growing, variety of stellar explosions which can be distinguished according to their explosion mechanisms.

The four boxes below summarise the key supernovae of interest to the NRT project, including the 'exotic' subclass which includes new and exciting sources that are predicted to be discovered by the cadences and depths provided by new survey facilities.

Type Ia
  • White dwarf and another star
  • Apparent homogeneity
  • Mature and direct probe of dark energy and accelerating Universe
  • Observationally diverse
  • Multiple progenitor scenarios
Core Collapse
  • End of life for massive stars
  • Wide range of subclasses
  • Affected by metallicity, rotation rate, binary companions
  • Early time spectra can probe shock breakout phase
  • Asymmetricity common; can be probed using polarimetry
Superluminous
  • Relatively new class of extremely luminous transients
  • Variety of explanations for mechanism of energy conversion
  • Models include ejecta-circumstellar collisions, fast-spinning neutron stars or large 56Ni masses.
Exotic
  • New surveys detect previously unknown variable sources
  • ATLAS source AT2018cow first of a new class of fast and blue transient
  • First spectrum obtained by LT
  • Rapidly growing class
  • Defy current SNe models

Type Ia SNe are used as standardisable candles for cosmic distance measurements and dark energy exploration. SNe research is a key science case for the Liverpool Telescope (LT), evidenced by the abundance of proposal submissions focused on supernova and related phenomena follow-up.

Canaries map
Liverpool Telescope proposal science area comparsion between 2014 and 2020

The New Robotic Telescope (NRT) project is strategically positioned to investigate various supernova types, including 'exotic' subclasses expected to emerge from forthcoming survey facilities.

Gravitationally lensed supernovae hold promise for probing cosmological parameters such as dark energy content and the expansion history of the universe. There's a critical need for high cadence monitoring and confirmation spectroscopy of these sources, with the Vera Rubin Observatory’s Legacy Survey of Space and Time forecast to discover 10s – 100s lensed type Ia SNe. NRT’s key science requirement for rapid response, coupled with its multi-band imaging and spectroscopy capabilities makes it ideal for facilitating the characterisation of these objects.

In the modern time-domain survey era, the discovery rate of new SNe has soared, unveiling a plethora of phenomena that challenge existing models, such as superluminous supernovae. Nightly-cadence surveys like ZTF and ATLAS are uncovering a population of fast and blue transients, heralding the forthcoming 'faint and fast' era promised by Rubin. However, comprehensive follow-up remains indispensable for classification of these objects. The NRT's role in providing essential photometric and spectroscopic follow-up for upcoming surveys like the Vera Rubin Observatory's Legacy Survey of Space and Time, is pivotal in bridging these observational gaps and advancing our understanding of supernovae and their cosmological implications.

The Liverpool Telescope’s autonomous and robotic follow-up has been key for gamma-ray burst science. The rapidly fading nature of short gamma-ray bursts means that traditional telescopes struggle to catch the source before it fades. The automated response to NASA Swift triggers, without human intervention, allows the LT to take data within minutes of outburst. For the NRT, we aim to be on target and taking observations, within 30 seconds of a trigger. This will allow a new generation of transient objects, discovered with facilities such as SVOM, to be routinely optically observed during the prompt emission phase for the first time.

GRB
Artist impression of GRB (NASA/GFSC)

The GRB science case is an important driver for the telescope design: the fast-fading nature of GRB afterglows means target acquisition time is at least as important as aperture for follow-up. Rapid IR imaging or spectroscopy is necessary to estimate the redshift of any event, and so there is a crucial need for ground based follow-up to, for example, identify the rare high-redshift events that can be used as cosmic beacons. With fast polarimetry a particularly unique selling point, MOPTOP has been designed for the LT with the intention of transferring it to the NRT during commissioning (“NR-MOPTOP”), enabling the polarimetric characterisation of many more GRB afterglows.

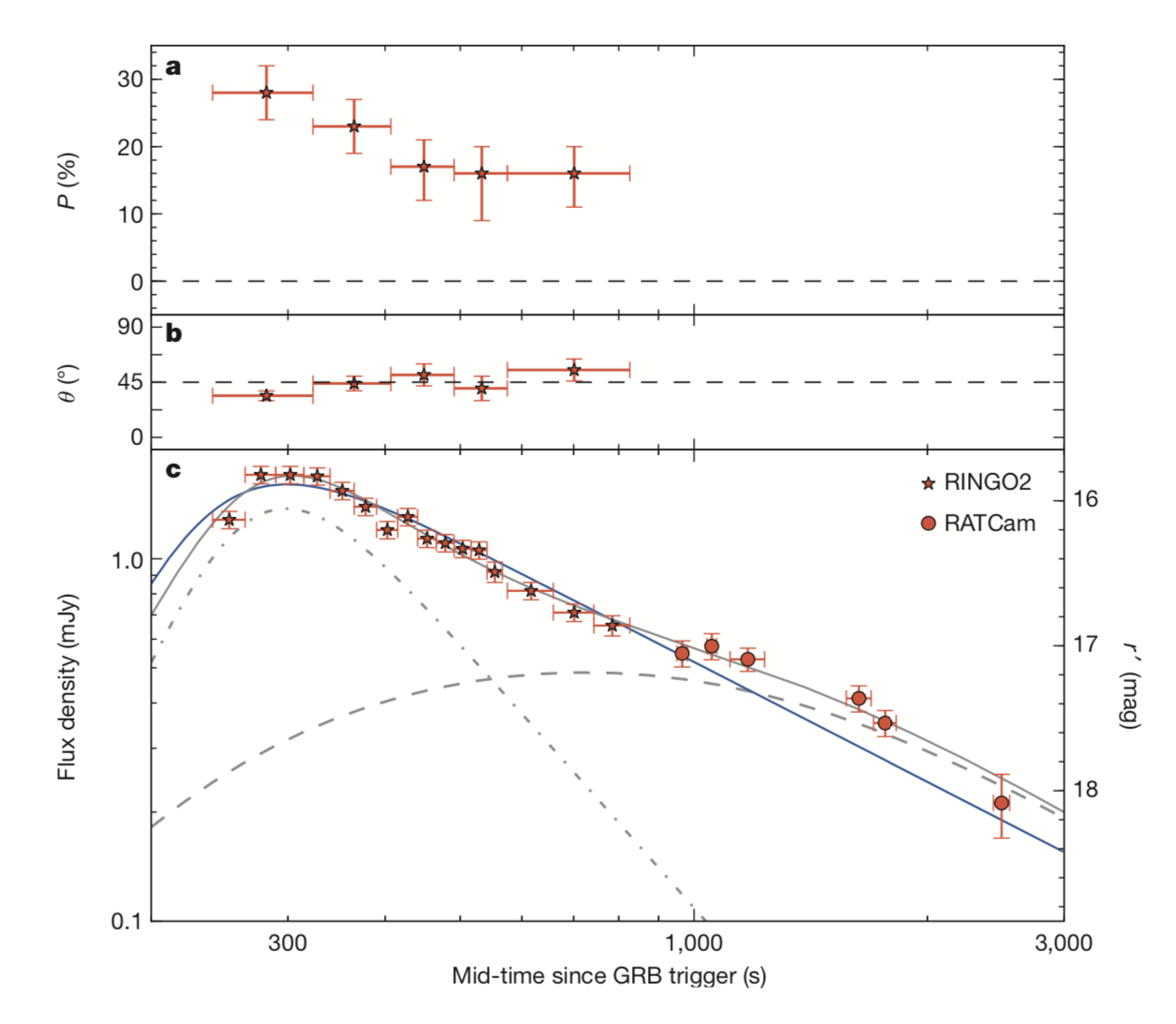
grblightcurve
EarlytimeGRB
The LT's rapid response is crucial for early-time observations of GRBs. The Figures show RINGO2 (polarimeter) and RATCAM (imager) observations of GRB 120308A, ~4 minutes after the object was discovered in Gamma-rays. These early time observations captured the high levels of polarisation associated with the fireball jet physics. Later observations measured the low levels of polarisation from the large scale jet interacting with the ambient medium. Mundell et al. (2013), Nature, 504, 119 and Copperwheat et al. (2014), SPIE, 9145, 914511.

The Cherenkov Telescope Array (CTA) will open open up the time-variable sky at very high energies (~TeV). The Northern component of CTA will be located on La Palma, so NRT will be ideally placed to exploit CTA targets of opportunity. The much improved sensitivity and field-of-view of CTA should see it provide a wealth of high energy data on GRBs and other transient sources, which coupled with fast optical polarimetry will provide a deeper insight into the properties of the jet magnetic fields, leading to a greater understanding of initial ejection and collimation processes.

Robotic telescopes like LT and NRT are uniquely suited to the task of transient follow-up since they can flexibly and automatically react to new discoveries in real time. In the era of fast discovery, the follow-up must proceed with a similar alacrity. The LT is currently a world-leading facility for time-domain rapid response, but the sensitivity of the new discovery facilities means the fainter targets will require a larger aperture optical follow-up facility.

The area of time domain astrophysics will continue to rapidly evolve and develop in the coming years as temporal work will be a key component of many new ground- and space-based facilities. From the ground, huge numbers of optical transients are being discovered by ‘synoptic’ surveys such as iPTF/ZTF and Pan-STARRS. The key new survey astronomy facility LSST at the Vera Rubin Observatory will offer increased cadence and depth, probing a new ‘faint and fast’ discovery regime. A wide variety of variable sources are expected to be discovered, including supernovae and previously unknown sources.

In order to classify these events we require a flexible telescope facility with diverse instrumentation. The Vera Rubin Observatory will join other transient discovery facilities in the Southern Hemisphere such as Public ESO Spectroscopic Survey for Transient Objects (PESSTO), Son of X-Shooter (SoXS) and SkyMapper. Although the NRT will be in the Northern hemisphere there is still a considerable area of sky overlap, with 60% of the main LSST field being observable by NRT with an airmass below 2. The high observing efficiency of NRT will afford an excellent opportunity to efficiently follow-up LSST sources with the ground-based spectroscopy essential for delivering astrophysical insight

lsstSky
The Figure above shows the sky coverage for the NRT (yellow) and VRO (pink) along with the sky overlap (orange). This overlap results in ~60% of the main Rubin survey field being observable by NRT with an airmass below 2. (Credit: Giant Magellan Telescope - GMTO Corporation)

Northern Hemisphere facilities such as the ZTF offer sensitivity and field-of-view improvements over their predecessors. There is a critical need for follow-up capacity to provide the spectroscopic classifications and multi-band light curves for exploitation of the survey telescopes’ discoveries. Dedicated follow-up telescopes are vital as the rate of targets-of-opportunity will be too high to rely on priority overrides on existing facilities (which would interrupt their existing science programs). The PESSTO program demonstrated the value of dedicating large amounts of telescope time to transient follow-up. In the new era NTT-SoXS and VISTA-4MOST will fill this role in the Southern hemisphere, and NRT will be the ideal Northern counterpart.

LT provides a variety of follow-up observations for Gaia transients in the Galaxy. Even though the mission is due to complete before the NRT reaches first light, there will still be a large catalogue of objects to follow-up. The LT is conducting follow-up of Gaia sources such as dwarf carbon and binary stars, conducting photometric monitoring and spectroscopic classification. The combination of a flexible instrumentation suite and the increased mirror size means that NRT will be able to classify ~10,000 objects per year, an increase of a factor of 5 over the current combined worldwide effort of all observatories (~2000/year).

GaiaArtist
Gaia space telescope artist rendition. (Credit: European Space Agency)

One of the Liverpool Telescope's core science cases is that of novae, this legacy will continue with the New Robotic Telescope. Classical novae (CNe) are characterised by explosive events on the surface of a white dwarf (WD) following accretion of an envelope from an evolved low-mass (or sub-giant) companion main sequence star that has filled its Roche lobe. When the gas pressure in the accreted envelope reaches a critical value, dependent on the WD mass, CNO thermonuclear reactions are ignited. This results in violent ejections of the accreted material at velocities in the range of ~102 to 104 km/s.

Nova
Artist's impression of a novae (Credit: phys.org)

A number of extreme physical phenomena can be studied in each outburst, such as strong shocks, thermonuclear runaway, nuclear burning, nucleosynthesis, and dust formation. Simultaneous observations in different wavelength regimes explore various optical depths, and thus physical phenomena. Classical nova systems are a viable pathway to supernova type Ia events. Recent advancements in this field show evolutions on timescales much shorter than previously thought. Including evidence for shock breakout within the first few minutes to hours of a nova’s rising journey to maximum. Spectroscopic studies in the optical of the early evolving complex P-Cygni profiles of these events lends important diagnostic information of the underlying physics related to the early shaping, optical depth effects, stellar winds, compact objects and thermonuclear processes of CNe, and related events that do not evolve on human timescales (e.g., planetary nebulae, symbiotic novae), more rare events (e.g., Luminous Blue Variables, Fast Radio Bursts) and gaining the knowledge of the environment of a subset of supernovae of type IIn.

For hundreds of years telescopes have been used to study our universe across the electromagnetic spectrum. Now we are entering a new era of discovery with the detection of non-electromagnetic messengers such as gravitational waves and neutrinos. The electromagnetic follow-up campaigns to gravitational wave events, such as GW170817, are vital for verifying and understanding these transient events. Observational campaigns to detect the counterparts associated with neutrino detections, such as the blazar TXS 0506+056, demonstrate the importance of electromagnetic follow-up for verification and elucidation of these transient events.

The difficulty of counterpart detection is not just the transient discovery itself, but distinguishing the true counterpart from the large numbers of unrelated candidates in a sky region of many square degrees. Early observations of GW170817 demonstrated the importance of identifying the counterpart rapidly, since the first 12 hours showed a very rapid spectral and photometric evolution.

Detection of new events and characterisation of the early evolution of these sources is of the highest priority to the time domain community: open questions include whether all neutron star-neutron star mergers produce short GRBs, whether outflows from neutron star-neutron star and neutron star-black hole mergers are similar, and the properties and structure of the jet. Gravitational wave events also offer an independent means of measuring the Hubble constant, but an EM counterpart must be identified to do this with precision.

Stellar Graveyard
The masses of neutron stars and black holes measured through gravitational waves and electromagnetic observations. The yellow and purple markers represent the electromagnetic measurements of neutron stars and black holes, respectively, while the orange and blue markers are the corresponding measurements using gravitational waves. (Credit: LIGO/Virgo)

GW170817 was exceptional in its brightness and location: future events will likely be fainter therefore wider aperture follow-up capabilities are key to exploring this exciting new field of astrophysics. NRT will complement discovery facilities such as the GOTO project on La Palma. Like the LT, the 4-metre NRT will be able to undertake follow-up spectroscopy of GOTO’s discoveries, and automated cooperation between these two robotic facilities provides the potential for colours and spectroscopic classifications within minutes of candidate discovery.

The next decade will see the exploration of the time-domain sky in different electromagnetic regimes via facilities such as the Cherenkov Telescope Array (CTA); the northern component of which will be co-located with the NRT on La Palma, eRoSITA and LOw-Frequency ARray (LOFAR). The NRT will continue to lead the rapid response of ground-based facilities by being on target and taking data within 30 seconds of trigger, catching faint, rapidly fading sources before larger facilities.

Gravitational Wave Localisation
A map of the localisation regions of gravitational wave detections as provided by LIGO/Virgo for each of the most significant discoveries.

Fast Radio Bursts (FRBs) is another interesting field that is rapidly developing. FRBs are millisecond-long bursts of radio emission detected by dedicated facilities such as the Canadian Hydrogen Intensity Mapping Experiment (CHIME) FRB project, ASKAP, Molonglo and the Parkes Telescope. Their origin, in at least some cases, might be attributed to radio emission from young magnetars; highly magnetised young neutron stars that occasionally flare in X-rays and gamma-rays. There is also the possibility that a subset of them are associated with a cataclysmic event such as the merger of neutron stars or the formation of a black hole. Thousands of FRBs have already been discovered, and with the improvement in their localisation and the ongoing searches for afterglows or prompt emission at wavelengths other than radio, the NRT will be well placed to explore these sources.

Active Galactic Nuclei (AGN) are energetic and turbulent centres of galaxies in which material has come too close to the central supermassive black hole. The accreted material is heated by friction and creates a glowing active disk around the black hole. Through processes not fully understood, the accretion disk creates powerful, beamed jets of charged particles which are ejected from the polar regions of the black hole. The AGN provides a unique method of probing black hole physics; it allows the long-term study of the different aspects of variability associated with compact object-powered accretion and the high energy, extreme physics contained in these centres.

One way to explore the material surrounding the central engine in AGN is disk reverberation mapping; the study of the time delays between measurements of regions around the SMBH. Such studies, often simultaneous with X-ray or UV observations, allow the probing of unresolved disk structures and the broad line region of AGN and thus exploring the links between black hole mass, accretion rate and disk geometry.

AGN Model
A model of an AGN (Credit: C. M. Urry and P. Padovani)

SMBH physics can also be probed directly by observing AGN down their jet. Sources with jets pointing towards earth are referred to as blazars and appear as point sources in optical data. Blazars are highly variable due to the beaming of their jet towards to the observer. They are also highly polarised due to the magnetic fields within their jets that are formed from the accretion disk. When charged particles spiral around these field lines close to the speed of light they emit synchrotron radiation, which carries a signature of the magnetic fields and can be measured using polarimetry. Polarimetric monitoring of blazars has been a productive area of research for the Liverpool Telescope. The RINGO series of polarimeters opened new windows onto jet physics in GRBs and blazars, and this is continued with the more sensitive MOPTOP instrument.

Blazars are long-term variable objects that can be scheduled easily in amongst other observations for the LT and NRT. One example of blazar polarimetric science with the LT was the collaborative campaign to observe the blazar OJ287. OJ287 has been a subject of photometric monitoring since the 1970s due to its bright and variable behaviour. This long baseline of observations has allowed the investigation of periodicity resulting in a proposed binary supermassive black hole system. The source went into outburst, as predicted, in 2015 and LT was able to conduct photopolarimetric observations. As a result of this campaign it was possible to measure the rotation rate of the black hole and the confirmation of the loss of orbital energy to gravitational waves within 2% of the prediction from General Relativity.

Tidal disruption events (TDEs) are events in which stars are torn apart by tidal forces near supermassive black holes. Candidate flares need to be classified in order to catch the rising emission and constrain the time of disruption, and then regular monitoring over the decay (lasting tens to hundreds of days) in order to constrain the models of mass accretion rate. Discovery channels for new events are UV/optical or X-ray surveys, but the two populations show differences: many of the UV/optically detected events do not produce X-rays. Explanations include the reprocessing (from soft X-ray to UV/optical) of photons in an optically thick shell of material or that the UV/optical photons are produced by interactions in the debris stream. The number of known events has been small, but the capabilities of modern surveys are rapidly moving this field from single-object to population studies. van Velzen+ for example reported 17 new events recovered from the first 1.5 years of ZTF operations, and the yield from Rubin is anticipated to be of the order of 1000s per year.

TDE Model
An artist's impression of a tidal disruption event; a star is torn apart by the tidal forces of a black hole. Credit: NASA/ESA/D. Player (STScI)

The key to unlocking this population is identification and rapid spectroscopic characterisation of candidates. Spectral line ratios depend on the radii of emitting regions and blueshifts constrain the presence of outflows and winds. While these transients are often bright, a high S/N is required since they are located in the brightest regions of their host galaxies, and so the ‘background noise’ is high. Our proposed SPRAT-type classification spectrograph on a 4-metre aperture NRT is ideal for this task.

The NRT is designed to provide flexible and efficient follow-up of the wide range of sources that fall under the ‘time-domain’ umbrella. This includes variable objects in our Solar System such as comets, asteroids, near-Earth objects and other bodies, along with other systems in our Galaxy and further afield. Building on the success of the LT, the NRT's flexibility will enable efficient exoplanet transit monitoring programs, like that conducted by LT to explore TRAPPIST-1. In addition to this, the NRT will also provide other time-critical observations using tailored instrumentation for specific science goals. LT’s flexible, low-cost instrumentation allows the rapid development of instrumentation, such as the LOTUS UV spectrograph which was designed to study the comet Churyumov-Gerasimenko.

67p Lightcurve
The lightcurve from Churyumov-Gerasimenko (67P) campaign including LT observations. Credit: Daniel Gardener et al., MNRAS, 2022, 517, 3, 4305.

Satellite surveys like TESS, and the future PLAnetary Transits and Oscillations of stars (Plato) mission, unveil a myriad of new exoplanets, which requires ground-based follow-up for detailed characterization. The NRT's spectroscopic and polarimetric capabilities position it well for exploring debris disks of planetary systems and providing essential data for understanding exoplanetary environments. The NRT’s spectroscopic and rapid response capabilties is also ideally situated to support the follow-up of transiting Earth-sized exoplanets around small stars particularly in conjunction with missions like SPECULOOS; targeting ultra-cool stars and brown dwarfs for Earth-sized planet transits.

Plate Spacecraft
Artist’s impression of the Plato mission. Credit: ESA

The NRT will play a crucial role in advancing our understanding of individual objects in our Solar System and conducting population studies. Its ability to conduct spectroscopy and polarimetry will shed light on phenomena like the YORP effect in asteroids and dynamics of gas and dust in small bodies, aiding missions like Psyche and Lucy. Furthermore, the NRT's rapid response model facilitates follow-up of new discoveries including asteroid collisions and interstellar visitors, crucial for extending orbit arcs and studying their properties.

The advent of new surveys has led to groundbreaking discoveries, including the identification of minor planets with interstellar origins, providing insights into planetary formation processes. The NRT's non-sidereal tracking capability, coupled with its autonomous operations model, enables rapid follow-up of new discoveries, supporting comprehensive surveys like ZTF and Rubin in conducting a census of Solar System objects. Additionally, the NRT's autoguiding capability is instrumental for conducting spectroscopy of Solar System bodies, fulfilling a critical requirement for advancing our understanding of Solar System dynamics and composition.